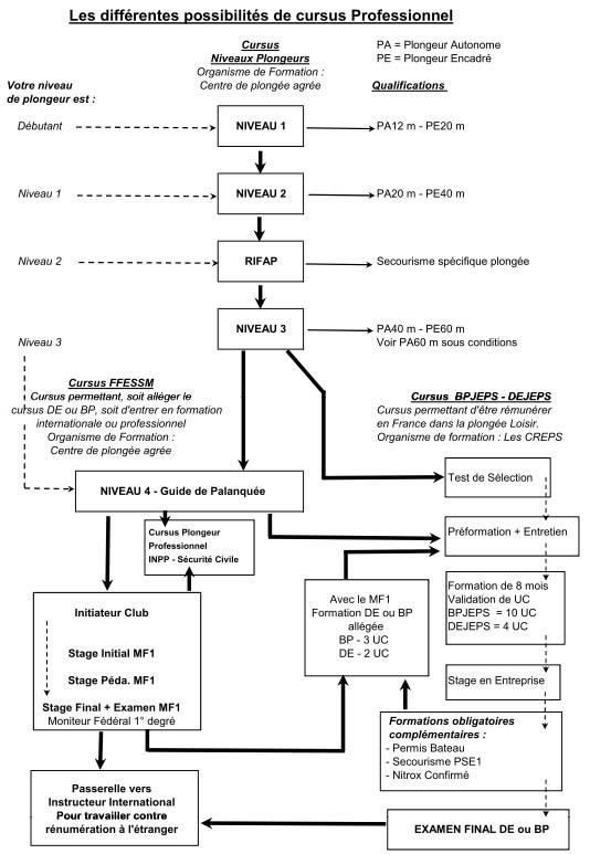
Formation encadrant moniteur
L’INITIATEUR CLUB
Vous désirez apprendre à enseigner la plongée en bouteille.
Devenez initiateur club.
Ce programme vous permet de préparer à obtenir les compétences pédagogiques d’un enseignant plongée en milieu protégé.
Avec ce diplôme, vous validez également les aptitudes à être un directeur de plongée en fosses ou piscine n’excédant pas 6 m de fond.
C’est le premier niveau d’enseignement de la FFESSM.
A travers notre formation, vous allez acquérir :
- une méthode d’enseignement,
- des compétences pédagogiques pratiques pour former un plongeur débutant,
- des aptitudes à diriger et à suivre une formation de plongeur,
- des aptitudes à organiser des séances en piscine ou en fosses n’excédant pas 6 m de fond.
Notre stage comprend :
- 2 jours de stage initial,
- 5 jours de stage en situation pédagogique,
- entraînements aux épreuves physiques,
- supports pédagogiques numériques mis à disposition,
- 6 h de cours théoriques (organisation séance, réglementation accidents …),
- livret pédagogique Initiateur,
- Examen sur une journée,
- une certification du niveau en cas de réussite.
| Initiateur Club | Tarif/pers. |
|---|---|
| Formule individuelle/ | 480 € |
| Formule DUO (2 personnes) | 450 € |
| Formule Groupe (à partir de 4 personnes) | 420 € |
LE NIVEAU 4
GUIDE DE PALANQUEE
Devenez encadrant et amenez des plongeurs en exploration entre 0 – 40 m de fond.
La formation niveau 4 FFESSM demande un niveau de compétences complet, vous allez développer des aptitudes spécifiques pour amener en exploration d’autres plongeurs sous l’eau.
Guider une palanquée nécessite une préparation rigoureuse sur le plan physique, technique, sécuritaire et théorique.
Nous vous proposons une préparation personnalisée et adaptée à vos futures prérogatives d’encadrant. Nous nous engageons à vous accompagner tout au long de votre formation et à atteindre le niveau d’exigence demandé pour devenir guide de palanquée.
PRE-REQUIS Obligatoires pour entrer en formation :
- Être validé plongeur niveau 3 /Cmas*** ,
- Avoir le RIFAP de valider,
- Être licencié à la FFESSM,
- Présenter un certificat médical de non contre indication d’un médecin du sport ou hyperbare ou fédéral plongée de moins de 1 an et de l’année de la licence.
Nous proposons plusieurs formules
Semaine 1
Vous voulez débuter et préparez votre formation de N4/GP sans passer d’examen.
La première semaine de formation vous permettra d’acquérir l’expérience nécessaire pour maîtriser les contenus physiques, techniques et théoriques que l’on attend dans un stage N4.
Cette première partie de formation, vous permettra de vous entrainer et de vous préparer aux exigences techniques, physiques et théoriques à assimiler pour devenir un guide de palanquée.
| Guide de palanquée - semaine 1 | Tarif/pers. |
|---|---|
| Formule individuelle | 590 € |
| Formule DUO - 2 personnes | 550 € |
Semaine 2 + Examen
Vous vous entraînez l’hiver en piscine ou en fosse dans votre club ou vous avez déjà suivit un stage de préparation aux épreuves physiques, techniques et théoriques.
La deuxième semaine de formation vous permettra de finaliser votre formation de guide de palanquée et de passer votre examen.
Cette semaine de formation est axée sur les compétences de conduite de palanquée à différentes profondeurs, et elle vous permet également de perfectionner votre technicité sur les épreuves demandées.
Cette deuxième partie, vous permettra de finaliser votre formation et vos futures prérogatives de guide de palanquée par un examen final de 2 jours.
| Guide de palanquée Semaine 2 + Examen | Tarif/pers. |
|---|---|
| Formule individuelle | 740 € |
| Formule DUO - 2 personnes | 690 € |
Semaine 1 + Semaine 2 + Examen
Vous voulez effectuer un stage complet pour devenir Guide de palanquée.
Nous proposons, au minima, une session de 10-12 jours regroupant la semaine 1 et 2 pour préparer et finaliser votre niveau 4. C’est un stage complet et intensif.
Pour alléger ce stage, nous proposons également de le réaliser en 3 semaines, pour étaler la préparation technique, physique et théorique, ce qui vous laissera plus de temps pour assimiler les contenus.
Cette formation vous permettra de finaliser votre niveau de guide et vos futures prérogatives d’encadrant par un examen final de 2 jours.
| Semaine 1 + 2 + Examen - 15 jours | Tarif/pers. |
|---|---|
| Formule individuelle | 1050 € |
| Formule DUO - 2 personnes | 990 € |
| Guide de palanquée en 3 semaines | Tarif/pers. |
|---|---|
| Formule individuelle | 1350 € |
| Formule DUO - 2 personnes | 1250 € |
Niveau 3 + Guide de Palanquée
Vous êtes niveau 2 et vous voulez enchainer votre niveau 3 et votre niveau 4 dans la foulée, nous vous proposons un stage complet pour devenir Guide de palanquée.
PRE-REQUIS Obligatoires pour entrer dans cette formation :
- Être validé plongeur niveau 2 /Cmas** ,
- Avoir 40 plongées de valider.
- Avoir le RIFAP de valider,
- Présenter un certificat médical de non contre indication d’un médecin du sport ou hyperbare ou fédéral plongée de moins de 1 an et de l’année de la licence.
Notre stage complet et intensif sur 3 semaines vous permet d’acquérir les compétences d’un niveau 3 au niveau technique et théorique tout en vous préparant efficacement aux exigences d'une formation au niveau 4 / Guide de Palanquée.
Cette formation vous permettra de finaliser votre niveau de guide et vos futures prérogatives d’encadrant par un examen final de 2 jours.
| Niveau 3 + Guide de palanquée - 3 semaines | Tarif |
|---|---|
| Formule individuelle | 1550 € |
LE STAGE PEDAGOGIQUE
Vous avez besoin d'un stage pédagogique en entreprise pour valider les compétences nécessaires en vue d'un examen de monitorat fédéral ou d'état de plongée.
Conditions d’accès et de réservation :
- Fournir la copie de vos diplômes GP/N4 et RIFAP,
- Fournir la copie de votre licence FFESSM,
- Souscrire et présenter une assurance complémentaire (ex : assurance Loisir 1 de AXA),
- Présenter un certificat médical de non contre indication à l’encadrement d’un médecin Fédéral ou hyperbare ou CES du Sport de l’année en cours,
- Fournir la copie des diplômes (si valider) : Initiateur Club, Permis bateau,
- Fournir la copie de votre livret pédagogique,
- Valider la convention de stage pédagogique,
- Fournir une convention CREPS (pour les stagiaire DE ou BP),
- Prévoir un stage sur 15 jours de suite minimum.
Contenu d’un stage pédagogique :
- Baptêmes de plongée départ du bord et d’un bateau (adultes et enfants).
- Cours pédagogiques niveau 1 : théorie + pratique.
- Cours pédagogiques niveaux 2,3 : théorie et pratique.
- Présentation avec notre conseiller technique, de cours pédagogiques niveau 4 théoriques et pratiques.
- Gestion de groupes de jeunes (Snorkeling, stages de découvertes…)
- Encadrement plongées explorations : épaves, plongée de nuit, plongée bio …
- Participation à la mise en place de l’organisation sécuritaire des sorties plongée.
- Atelier réparation et entretien du matériel.
- Atelier de gonflage.
- Cours de perfectionnement pédagogique avec notre conseiller technique.
Pour cela, le centre et le stagiaire s’engagent :
- A définir des dates précises de stage pédagogique,
- A mettre en place une convention de stage pédagogique,
- A présenter et à remplir le livret pédagogique quotidiennement,
- A mettre en place un planning pédagogique,
- A mettre en place un suivi pédagogique, en vue du rapport de stage,
- A réaliser un bilan pédagogique en fin de stage.
- Durée du stage de 15 jours minimum,
- Possibilité d’être logé sur le centre (voir condition avec notre responsable),
- Nourri les midis sur le centre (seulement durant la saison estivale).
Nous proposons un stage préparation à l’examen Final MF1
Notre centre, en plus du stage pédagogique, propose aux stagiaires, désirant une préparation personnalisée et préparative à l’examen final MF1, un accompagnement pédagogique complet sur les épreuves :
- Techniques, préparation à l’épreuve d’IPD (Intervention Plongeur en Difficulté),
- De pédagogie Organisationnelle,
- De pédagogie pratique,
- De pédagogie théorique,
- De règlementation.
Avec notre conseiller technique E4, nous mettons en place des semaines préparatoires entre le 15 septembre et le 15 octobre.
| Stage Préparatif au stage final MF1 | Tarif |
|---|---|
| Formule 6 jours | 450 € |
| Formule 15 jours | 700 € |
Notre centre de plongée est enregistré sous le numéro de déclaration d’activité n° 91-66-01166-66 auprès de la DREETS d’Occitanie, cet enregistrement ne vaut pas agrément de l’état.
On vous propose des formations préparatoires et qualifiantes aux métiers de moniteur de plongée loisir français et/ou international (BPJEPS ou DEJEPS ou instructeur international).
En prenant contact avec nous, vous bénéficierez d’une aide adaptée et personnalisée pour réaliser et mettre en œuvre votre projet professionnel, nous sommes également à votre disposition pour réaliser un devis et un planning de formation.
Nos cursus de formation débutent à partir de début avril et se terminent courant novembre.
La formation est ouverte entre 1 et 6 stagiaires maximum en même temps et elle doit être réalisée en présentiel.
Les candidats désirant s’inscrire à nos formations doivent :
- Remplir la fiche de renseignement.
- Lire et accepter le règlement intérieur de notre centre de formation.
- Répondre aux prérequis demandés.
- Pour les personnes handicapées : possibilité d’accessibilité à nos formations après présentation d’un certificat médical de non contre indication à la plongée subaquatique et d’un entretien préalable avec notre responsable technique.
Nous vous proposons également :
- un accompagnement et une aide pour monter vos dossiers au près des organismes de financements (AGEFIPH, AGEFOS, Pôle Emploi …).
- un soutien technique, administratif (inscription sessions d’examen, mise en place du dossier au près des CREPS…).
- une aide logistique et matérielle dans la réalisation de votre nouveau métier et de votre projet professionnel.
Nous proposons un plan de formation adapté à vos exigences et votre cahier des charges en plusieurs étapes.
1° étape : Je finalise ma formation de Plongeur
- Formations aux niveaux de plongeurs Français :
| Plongeur | Objectif | Certification |
|---|---|---|
| Niveau 1 | En contrôle continu, acquérir les gestes et techniques sécuritaires pour plonger dans une palanquée guidée, entre 0 et 20 mètres de fond. |
Carte Niveau 1 FFESSM/CMAS |
| Niveau 2 | En contrôle continu, acquérir les compétences pour plonger en autonomie jusqu’à 20 mètres de fond et pour être guidé jusqu’à 40 m de fond. | Carte Niveau 2 FFESSM/CMAS |
| Niveau 3 | En contrôle continu, acquérir les compétences techniques et sécuritaires pour plonger en autonomie jusqu’à 60 mètres. | Carte Niveau 3 FFESSM/CMAS |
Statistiques sur les formations Niveau 2 et 3 :
aucune validation partielle possible
| Année | Taux de réussite | Taux de satisfaction |
|---|---|---|
| 2023 | 100 % | 100 % |
| 2024 | 100 % | 100 % |
| 2025 | 100 % | 100 % |
- Formations aux niveaux de plongeurs Internationaux :
| Plongeur | Objectif | Certification |
|---|---|---|
| OWD | En contrôle continu, acquérir les gestes et techniques sécuritaires pour plonger dans une palanquée guidée, entre 0 et 20 mètres de fond en France et entre 0-18 m de fond en autonomie à l’étranger. | Carte numérique OWD SSI |
| AOWD | En contrôle continu, acquérir les compétences complémentaires pour plonger en autonomie jusqu’à 30 mètres de fond à l’étranger et pour être guidé jusqu’à 40 m de fond en France. | Carte numérique AOWD SSI |
| MD | En contrôle continu, acquérir les compétences techniques et sécuritaires pour plonger en autonomie jusqu’à 40 mètres à l’étranger et pour être guidé jusqu’à 60 m de fond en France. | Carte numérique MD SSI |
Statistiques sur la formation Master Diver :
aucune validation partielle possible
| Année | Taux de réussite | Taux de satisfaction |
|---|---|---|
| 2023 | 100 % | 100 % |
| 2024 | 100 % | 100 % |
| 2025 | 100 % | 100 % |
2° étape : Je deviens Encadrant dans le système Français
- Je deviens Encadrant Guide de palanquée
| Plongeur | Objectif | Certification |
|---|---|---|
| Guide palanquée | Acquérir les compétences techniques et sécuritaires à guider en exploration des plongeurs en palanquée, entre 0 et 40 mètres de fond. Niveau d’encadrement validé par un examen. |
Carte Gude de Palanquée FFESSM |
Statistiques sur la formation Guide de palanquée :
aucune validation partielle possible
| Année | Taux de réussite | Taux de satisfaction |
|---|---|---|
| 2023 | 100 % | 100 % |
| 2024 | 100 % | 100 % |
| 2025 | 100 % | 100 % |
3° étape : Je deviens Enseignant dans le système Français
- Je deviens Enseignant en milieu protégé
| Form. | Objectif | Certification |
|---|---|---|
| Initiateur Club | Acquérir les compétences d’enseignement des cursus plongeurs entre 0 et 6 mètres de fond. Premier niveau d’enseignant validé par un examen. | Carte Enseignant E2 FFESSM |
Statistiques sur la formation Initiateur Club :
aucune validation partielle possible
| Année | Taux de réussite | Taux de satisfaction |
|---|---|---|
| 2023 | 100 % | 100 % |
| 2024 | 100 % | 100 % |
| 2025 | 100 % | 100 % |
- Je deviens Moniteur de plongée Français
| Form. | Objectif | Certification |
|---|---|---|
| Stage Initial MF1 | Définir les objectifs pédagogiques d’un futur moniteur, apporter des éléments techniques pour la mise en pratique de son stage entreprise | Livret pédagogique et n° stagiaire pédagogique |
| Stage en situation | Acquérir les compétences d’enseignement des cursus plongeurs du niveau 1 au niveau 4 entre 0 et 40 mètres de fond, en théorie et en pratique. | |
| Stage en entreprise | Apprentissage et mise en pratique des compétences pédagogiques en entreprise de plongée loisir. Suivi réalisé par un tuteur de stage E4. | Remplissage du Livret pédagogique |
| Stage Final et examen MF1 | Évaluation des compétences pédagogiques sur des enseignements des cursus de plongeur. Validation du niveau de moniteur de plongée par un examen CTR. | Diplôme MF1 Carte d’enseignant E3 FFESSM |
Statistiques sur la formation MF1 :
aucune validation partielle
| Année | Taux de réussite | Taux de satisfaction |
|---|---|---|
| 2023 | 80 % | 100 % |
| 2024 | 70 % | 100 % |
| 2025 | 100 % | 100 % |
4° étape : J’augmente mes compétences en me spécialisant
- Je me forme au secourisme
| Form. | Objectif | Certification |
|---|---|---|
|
RIFAP PSC1 |
Acquérir les gestes de premiers secours. Gérer les accidents liés à l’activité de plongée en scaphandre. Formation en contrôle continue. |
Carte RIFAP Diplôme PSC1 |
| PSE1 | Acquérir les gestes de premiers secours avec matériel et en équipe. Formation validée par réalisation de cas concrets en contrôle continue. | Diplôme PSE1 |
Statistiques sur la formation PSC-1 et PSE-1:
aucune validation partielle possible
| Année | Taux de réussite | Taux de satisfaction |
|---|---|---|
| 2023 | 80 % | 100 % |
| 2024 | 100 % | 100 % |
| 2025 | 100 % | 100 % |
- Je me spécialise à la plongée aux mélanges
| Form. | Titre | Titre |
|---|---|---|
|
NITROX NITROX Confirmé |
Acquérir les protocoles et les compétences d’utilisation et de pratique de plongées avec des mélanges enrichis en O2. Formation en contrôle continue. |
Carte NITROX NITROX Confirmé |
Nous proposons également, les formations de spécialités suivantes :
- Radio téléphoniste restreint,
- Biologie sous-marine,
- Vêtement étanche,
- Photos/Vidéos...
Ces formations sont complémentaires et peuvent être intégrées dans votre projet professionnel.
- Je passe mon permis bateau
| Form. | Objectif | Certification |
|---|---|---|
| Permis Bateau | Acquérir les compétences pour piloter un bateau en toute sécurité. Examen code et contrôle continue pour la pratique. |
Titre de navigation Permis côtier |
Statistiques sur la formation Permis Bateau :
aucune validation partielle possible
| Année | Taux de réussite | Taux de satisfaction |
|---|---|---|
| 2023 | 100 % | 100 % |
| 2024 | 100 % | 100 % |
| 2025 | 100 % | 100 % |
5° étape : Je deviens Encadrant et Enseignant International pour travailler à l'étranger
- Je deviens un Guide de plongée Professionnel International
| Form. | Objectif | Certfication |
|---|---|---|
| Dive Guide | Acquérir les compétences techniques et sécuritaires à guider en exploration des plongeurs Internationaux en palanquée. Niveau d’encadrement validé par un examen. |
DIVE GUIDE |
| Dive Master |
Valider les compétences pour de devenir guide professionnel. Niveau d’encadrement professionnel validé par un examen. |
DIVE MASTER |
- Je deviens un Instructeur Professionnel International SSI
| Form. | Objectif | Certification |
|---|---|---|
| Assistant Instructeur | Acquérir les compétences pédagogiques sur l’enseignement du cursus de plongeur de chez SSI. Validation du niveau d’assistant Instructeur par un examen. | Assistant Instructeur |
| Instructeur International |
Valider les compétences pour de devenir instructeur professionnel. Niveau d’enseignant professionnel international validé par un examen d’un centre ITFde SSI. |
Open Water Instructeur Advanced OWI |
Statistiques sur la formation Dive Master et Assistant Instructeur :
aucune validation partielle possible
| Année | Taux de réussite | Taux de satisfaction |
|---|---|---|
| 2023 | - | - |
| 2024 | 100 % | 100 % |
| 2025 | 100 % | 100 % |
Je m’inscris dans un cursus certifiant pour devenir moniteur professionnel Français
- Je choisis la filière BPJPS (dossier à retirer au près des CREPS)
- Je choisis la filière DEJPS (dossier à retirer au près des CREPS)
Demander votre devis de formation personnalisé
LE DIVE GUIDE SSI
Ce programme permet d'acquérir les compétences et l'expérience nécessaires pour guider en toute sécurité des groupes de plongeurs certifiés SSI ou PADI ou d'un autre organisme des RSTC.
Il s'agit de la première étape vers une carrière passionnante en tant que Dive Professional SSI sans devoir suivre un programme complet d'Instructeur.
Les Dive Guides ne sont pas professionnels mais ils peuvent intervenir bénévolement pour les Dive Centers SSI, et guider des plongées dans divers environnements et différentes conditions.
A l'issue de ce programme, vous obtiendrez la certification Dive Guide SSI.
Conditions d’accès et de réservation :
- Être certifié Stress & Rescue,
- Présenter la certification des spécialités (ou expérience équivalente) en :
- Navigation (orientation),
- Night & Limited Visibility,
- Deep Diving - 40 plongées de certifiées et enregistrées,
- Souscrire et présenter une assurance complémentaire internationale,
- Présenter un certificat médical de non contre indication à l’encadrement d’un médecin Fédéral ou hyperbare ou CES du Sport de l’année en cours,
Contenu d’un stage Dive Guide :
- permet de d’acquérir les compétences d’un guide de palanquée et encadrant professionnel international (hors France) pour guider les niveaux certifiés (OWD minimum) en exploration.
- kit pédagogique Diveguide inclus.
- cours théoriques numériques (accessible sur smartphone, tablette, PC).
- 10 séances, soit 5 jours de formation.
- Le nombre de cours, d’heures et de séances par jour sont fixés par l’Instructeur, selon les besoins des candidats, leurs capacités et les conditions d’eau
Attention : En fin de formation vous aurez, après la réussite de l’examen, un statut de Dive Guide qui n’est pas un statut professionnel (c’est-à-dire que vous n’aurez pas à vous acquittez de l’adhésion annuelle appelé fee-member et vous pourrez encadrer des plongeurs sans être rémunéré, pour avoir un statut professionnel il faudra valider le DIVE MASTER).
Vous êtes N4/Gp et vous désirez le Dive Master pour être professionnel :
Vous êtes Niveau 4 Guide de palanquée et vous désirez avoir votre équivalence à l’international comme guide plongée professionnel.
Etape 1 : Valider les prérequis pour entrer en formation Dive Guide (Package prérequis comprend ; Stress & Rescue, Orientation, Plongée de nuit)
Etape 2 : Réaliser la formation accélérée pour devenir Dive Guide et Dive Master.
| DIVE GUIDE | Tarif |
|---|---|
| Vous êtes Master Diver : Stage 10 jours de formation * | 1250 € |
|
Vous êtes N4/GP - package prérequis - 2 jours (Obligatoire) Dive Guide en 5 jours de Formation * |
400 € 580 € |
* - Frais d'enregistrement en sus
LE DIVE MASTER SSI
Ce programme valide les compétences professionnelles d’un guide de plongée international pour guider en toute sécurité des groupes de plongeurs certifiés SSI ou PADI. Il s'agit de la deuxième étape vers une carrière passionnante en tant que Dive Professional SSI.
Les Dive Master sont des professionnels à part entière et peuvent travailler contre rémunération pour les Dive Centers SSI, et guider des plongées dans divers environnements et différentes conditions.
A l'issue de ce programme, vous obtiendrez la certification Dive Master SSI.
Conditions d’accès et de réservation :
- Être certifié Dive Guide,
- Présenter la certification des spécialités (ou expérience équivalente) en :
- Navigation (orientation),
- Night & Limited Visibility,
- Deep Diving, - Le REACT RIGHT de valider avec le module oxygénothérapie.
- 50 plongées de certifiées et enregistrées,
- Souscrire et présenter une assurance complémentaire internationale,
- Présenter un certificat médical de non contre indication à l’encadrement d’un médecin Fédéral ou hyperbare ou CES du Sport de l’année en cours,
Contenu d’un stage Dive Master :
- permet de devenir guide de palanquée et encadrant professionnel international (hors France) pour guider les niveaux certifiés (OWD minimum) en exploration.
- kit pédagogique Science of Diving inclus.
- cours théoriques numériques (accessible sur smartphone, tablette, PC).
- 6 séances, soit 3 jours de formation.
Vous êtes N4/Gp et vous désirez le Dive Master pour être professionnel :
Vous êtes Niveau 4 Guide de palanquée et vous désirez avoir votre équivalence à l’international comme guide plongée professionnel.
Etape 1 : Valider les prérequis pour entrer en formation Dive Guide (Package prérequis comprend ; Stress & Rescue, Orientation, Plongée de nuit)
Etape 2 : Réaliser la formation accélérée pour devenir Dive Guide et Dive Master.
| DIVE MASTER | Tarif |
|---|---|
| Vous êtes Dive Guide : Stage 3 jours de formation * | 400 € |
|
Vous êtes Master Diver : Stage Dive Guide + Dive Master 15 jours de formation * |
1520 € |
|
Vous êtes N4/Gp : Package prérequis - 4 jours (Obligatoire) Dive GUIDE + Dive MASTER - 6 jours de formation * |
400 € 750 € |
* - Frais d'enregistrement en sus
L'ASSISTANT INSTRUCTEUR SSI
Ce programme valide les compétences professionnelles d’un assistant instructeur de plongée international. Grace à ce niveau il peut :
- enseignenr les premiers cours de l'Open Water Diver,
- assister un instructeur au cours de ces formations,
- guider en toute sécurité des groupes de plongeurs certifiés SSI ou PADI.
- préparer son instructorat SSI en acquérant les bons comportements et gestuelles à avoir.
Il s'agit de la troisième étape vers une carrière passionnante en tant que Instructeur Professional SSI.
A l'issue de ce programme, vous obtiendrez la certification Assistant Instructeur SSI.
Conditions d’accès et de réservation :
- Être certifié Dive Master,
- Présenter la certification des spécialités (ou expérience équivalente) en :
- Navigation (orientation),
- Night & Limited Visibility,
- Deep Diving - Le REACT RIGHT de valider avec le module oxygénothérapie.
- 75 plongées de certifiées et enregistrées,
- Souscrire et présenter une assurance complémentaire internationale,
- Présenter un certificat médical de non contre indication à l’encadrement d’un médecin Fédéral ou hyperbare ou CES du Sport de l’année en cours.
Contenu d’un stage Assistant Instructeur :
- permet de devenir assistant instructeur, dernier étape avant de devenir instructeur professionnel international.
- kit pédagogique Instructeur inclus.
- cours théoriques numériques (accessible sur smartphone, tablette, PC).
- 10 jours de formation.
| Assistant Instructeur | Tarif |
|---|---|
|
Stage 12 jours - (frais d'enregistrement en sus) |
1350 € |
L'INSTRUCTEUR SSI
Ce programme valide les compétences professionnelles d’un instructeur de plongée international professionnel.
Il s'agit de la dernière étape vers l'instructeur professionnel SSI.
A l'issue de ce programme, vous obtiendrez la certification Open Water Instructeur ou Advanced Open Water Diver SSI.
C'est le début d'une carrière dans le système SSI et dans les centre SSI.
Notre centre travaille en partenariat avec le centre ITF de notre région : l'ARGONAUTE à Toulouse.
Nous pouvons proposer des stages passerelle (CROSS OVER) vers un instructorat professionnel SSI. Pour réaliser une session sur notre centre, il faut 4 candidats minimum. Prenez contact avec nous pour un devis détaillé.
Sinon nous vous mettrons en relation avec l'ARGONAUTE pour plus de renseignement sur leur planning de stage et d'examen.
